Example (1D)
Jump to navigation
Jump to search
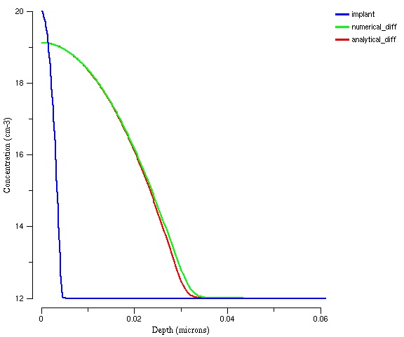
This is an example that uses the "diffuse" command to predict diffusion of an implant profile. The numerical solution is compared to an analytical solution.
Establish diffusion parameters and solution variable "Test"
math diffuse dim=1 umf none col !scale solution add name=Test solve !negative
pdbSetDouble Silicon Test Abs.Error 1.0e-8 pdbSetDouble Silicon Test Rel.Error 1.0e-2
Establish the grid and assign a material
line x loc=0.0 spac=0.0002 tag=Top line x loc=0.2 spac=0.001 tag=Bottom region silicon xlo=Top xhi=Bottom init
Gaussian implant profile
#fill in file name for as-implanted profile here sel z=1.0e20*exp(-(x/0.001)*(x/0.001))+1.0e12 name=Test
#plot the the as-implanted profile sel z=log10(Test) plot.1d max=0.06 min=[list 0.0 12.0] label=implant
#value for diffusivity goes here term name = TestDiff add silicon eqn = "4.0e-17"
#solid-solubility limit stuff term name = TestActive add silicon eqn = "(Test>1.0e20)?1.0e20:Test"
Establish the physics
#simple Fick's law based diffusion equation pdbSetString Silicon Test Equation "ddt(Test) - TestDiff * grad(TestActive)"
Use "difuse" command to solve
diffuse time = 60.0 temp=550 init=1.0e-1
#plot the the final profile sel z=log10(Test) plot.1d !cle max=0.06 min=0.0 label=numerical_diff
Use the "FindDose" command to intigrate the total implant dose and save as "dose"
sel z=Test set dose [FindDose]
#analytical model for drive-in diffusion sel z = ($dose*1.0e4)/(sqrt(3.14*4.0e-17*1.0e8*60.0*60.0))*exp(-(x*x)/(4*4.0e-17*1.0e8*60.0*60.0))+1.0e12 name=model sel z=log10(model) plot.1d !cle max=0.06 min=0.0 label=analytical_diff
The final plot is shown below. The numerical method slightly over-predicts the diffusion distance.
